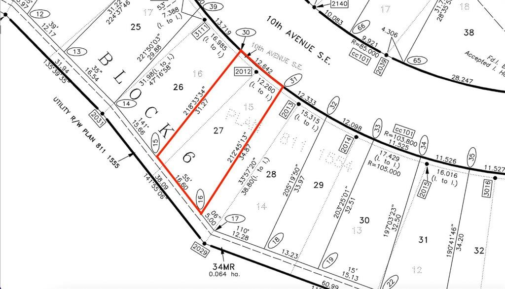
Vacant Land For Sale In Drumheller, Alberta
$52,700None Beds
-
Details
-
Map
-
Demographics
-
Street View
-
Get Directions
-
Advertising




























